本网讯(生科院 刘虎虎)脂质科学与健康事关全民身体素质的提高和健康中国建设的推进,是国家提升国民健康水平战略的重大需求。花生四烯酸和角鲨烯都是重要的功能性脂质,目前主要来源于组织提取与天然微生物发酵。为了解决生产过程中存在的资源受限、微生物发酵周期较长或产量不高等问题,我校生物科学技术学院田云教授团队与南京工业大学、南京师范大学、省部共建木本油料资源利用国家重点实验室等单位合作,通过利用合成生物技术在提升花生四烯酸和角鲨烯高效合成方面取得系列进展。
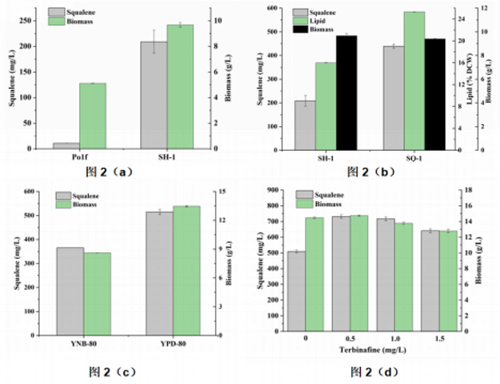
解脂耶氏酵母是FDA认证的一种安全且具有独特生理特性的非常规酵母。田云教授团队以该酵母为底盘细胞,通过设计并构建花生四烯酸生物合成途径,剖析不同代谢路径在底盘细胞中适配性,采用融合蛋白策略优化目标产物合成途径,最终实现了花生四烯酸在解脂耶氏酵母工程菌中高效合成(约118.1 mg /L),2019年9月发表在《J Agric Food Chem》(中科院一区,Top期刊,IF=4.192)上;同时采用途径工程策略在解脂耶氏酵母中分别过表达HMG1和共过表达HMG1和DGA1,优化工程菌发酵过程,最终实现了工程菌SQ-1在YPD-80发酵培养基中的角鲨烯产量达到731 mg/L,这是目前利用解脂耶氏酵母合成角鲨烯的最高产量报道,2021年1月发表在《Bioresource Technol》(中科院一区,Top期刊,IF=7.539)上;团队结合自身研究工作,综述解脂耶氏酵母自身脂肪酸及其衍生物代谢路径特点,总结当前常用的提升目标产物代谢工程策略,并介绍通过代谢工程技术改造解脂耶氏酵母生产脂肪酸及其衍生物的进展,2021年1月发表在《Front Microbiol》(中科院二区,Top期刊,IF=4.236)上。研究团队后续将采用系统代谢工程进一步改造底盘细胞,强化工程菌生产性能,优化工程菌发酵性能,提升解脂耶氏酵母合成功能性脂质的能力,最终逐步实现花生四烯酸和角鲨烯等功能性脂质绿色生物制造的产业化。
上述工作主要由我校生物科学技术学院刘虎虎博士和田云老师共同指导硕士研究生唐文艳、王冬平和宋于兰等完成,我校均为第一完成单位。研究工作先后获得国家自然科学基金、中国博士后科学基金第一批特别资助项目、湖南省教育厅优秀青年项目、长沙市杰出创新青年项目和湖南农业大学“双一流”建设项目等资助。

图 1:合成生物技术改造解脂耶氏酵母合成花生四烯酸

图 2:合成生物技术改造解脂耶氏酵母合成角鲨烯

图 3:解脂耶氏酵母合成功能性脂肪酸及其衍生物的代谢路径
原文链接:
https://pubs.acs.org/doi/10.1021/acs.jafc.9b03727
https://www.sciencedirect.com/science/article/abs/pii/S096085242031926X
https://www.frontiersin.org/articles/10.3389/fmicb.2020.608662/full?&utm_source=Email_to_authors_&utm_medium=Email&utm_content=T1_11.5e1_author&utm_campaign=Email_publication&field=&journalName=Frontiers_in_Microbiology&id=608662
| 点击下载文件: |